beat365英国官方网站
首页
beat365英国官方网站
政策法规
工作动态
党建工作
通知公告
技师学堂
申请专区
查询专区
个人中心
专家智库申请
专家智库查询
专家智库申请
专家智库查询
当前位置:文章详情 Article details
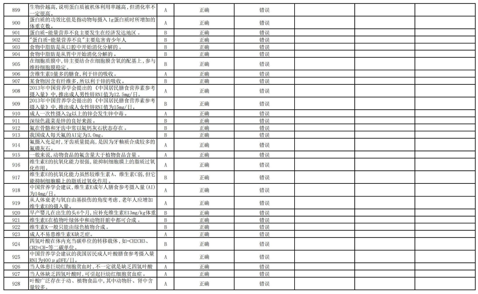
营养配餐员竞赛理论题库(五)(共1000题,第801-1000题)
日期:2022-08-24 10:43:00
附:
营养配餐员理论题库(801-1000题).xlsx
友情链接:
中国中央政府网
中华人民共和国商务部
中华人民共和国人力资源和社会保障部
中华全国总工会
国家市场监督管理总局
中华人民共和国教育部